Annual Report 2015 - page 10

10
التقرير السـنوي 5102
ليس
جســد القــول المأثــور
ُ
هنــاك مــا ي
بأننـا نعيـشفـيقريـة كونيـة بقـوة،
أكثــر مــن حالــة التشــابك الراهنــة
بيـن الأوضـاع الماليـة والاقتصاديـة المحليـة وتأثرهـا بمـا
يحــدث فــي الأســواق العالميــة مــن تراجــع فــي أســعار
النفـط وارتفـاع معـدل الفائـدة فـي أميـركا وتباطـؤ نمـو
الاقتصــاد الصينــي.
فبينمـا أبقـت زيـادة المعـروض النفطـيخـال عـام
5102 علـى اسـتمرار الاتجـاه الهابـطلأسـعار النفـط ليصـل
ا
ً
إلــى قاعــدة ســعرية جديــدة عنــد مســتوى الــ 03 دولار
للبرميـل، لا يـزال هنـاك العديـد مـن المتفائليـن بـأن هـذه
الأســعار ســترتفع بقــدر مــا فــي عــام 6102، وأن تســتقر
عنــد مســتوى يتــراوح بيــن 05-06 دولارا للبرميــل.
وفـيظـلهـذا المشـهد فـي أسـواق النفـط والـذي
يشـير إلـى توقـعحـدوث عجـز مالـيكبيـر فـي البلـدان
صــدرة للنفــط، نجــح اقتصــاد دولــة الإمــارات، بفضــل
ُ
م
ُ
ال
مـا يتمتـع بعمـن تنـوع وارتفـاع فـي الاحتياطـات الأجنبية
وانخفــاض مســتوى التعــادل النفطــي (ســعر برميــل
النفـطفـي الموازنـة) مقارنـة مـع دول الشـرق الأوسـط،
فـي تعزيـز قدرتـه علـى احتـواء العجـز بسـهولة نسـبية.
المتانة المالية
واصلـت أسـعار النفـطخـال العـام 5102 وتيـرة هبوطهـا
الدراماتيكـي ليصـل متوسـطسـعر برميـل النفـط بنهايـة
العــام إلــى 04 دولاراً للبرميــل، مقارنــة مــع 411 دولاراً
للبرميـل فـيمنتصـفشـهر يونيـو عـام 4102، وهـو الأمـر
الــذي قــاد إلــى تســجيلهبــوط لا يمكــن التقليــل منــه
صــدرة للنفــط، ومنهــا بطبيعــة
ُ
فــي إيــرادات البلــدان الم
للمــرة
ً
الحــال دولــة الإمــارات التــيســجلتعجــزاً ماليــ
الأولـىمنـذ عـام 9002، لكنـه الأقـلحـده مقارنـة بالبلـدان
النفطيــة الأخــرى فــي المنطقــة.
وسـاعد اجـراء رفـع الدعـمعـن المشـتقات النفطيـة
فــي تقليــل العجــز المالــي عبــر ربــط أســعار التجزئــة
المحليـة مـع متوسـط الأسـعار العالميـة فـي يوليـو 5102،
عــن قيــام الحكومــة بتنفيــذ مزيــد مــن إجــراءات
ً
فضــا
التخفيــف لتحقيــق الاســتقرار المالــي وســحب الدعــم
ــا خــال
ً
المخصــصللميــاه والكهربــاء والطاقــة تدريجي
العـام5102، حيـثعمـلهـذا الإجـراء علـىخفـضالقيمـة
الإجماليـة للدعـمبمـا يقـربمـن59 فـي المئـةفـيعـام
للتحليـل الـذي يجـري علـى أسـاسسـنوي.
ً
5102، وفقـ
وتحظـى دولـة الإمـارات العربيـة المتحـدة بتوقعـات
مسـتقبلية مواتيـة للقتصـاد الكلـيفـيظـل مـا تتمتـع
بـه مـنمسـتوىعالمـن احتياطيـات النقـد الأجنبـي يبلغ
عــن اقتصادهــا المتنــوع ومــا
ً
1.143 مليــار درهــم، فضــا
تتحلـى بـه مـن اسـتجابةسـريعة للإصلحـات الهيكليـة
والمتعلقــة برفــع الدعــم عــن الوقــود والطاقــة،
بالإضافـة الـى ان دولـة الإمـارات العربيـة المتحـدة بصـدد
تنفيــذضريبــة القيمــة المضافــة التــيمــن المتوقــع أن
ينتــج عنهــا زيــادة إضافيــة بقيمــة 21 مليــار درهــمفــي
الإيـرادات، أي مـا يعـادل 3.1٪ مـن الناتـج المحلـي الإجمالـي
غيــر النفطــيفــيعــام 5102.
اقتصاد متنوع
سـجل الناتـج المحلـي الإجمالـي الحقيقـي المتوقـع
لدولــة الإمــارات العربيــة المتحــدة نمــواً نســبته 4.4
فـي المئـة فـيعـام 5102، ليصـل معـه الناتـج المحلـي
التطوراتالاقتصادية
اقتصاد الإمارات
نمو مستدام
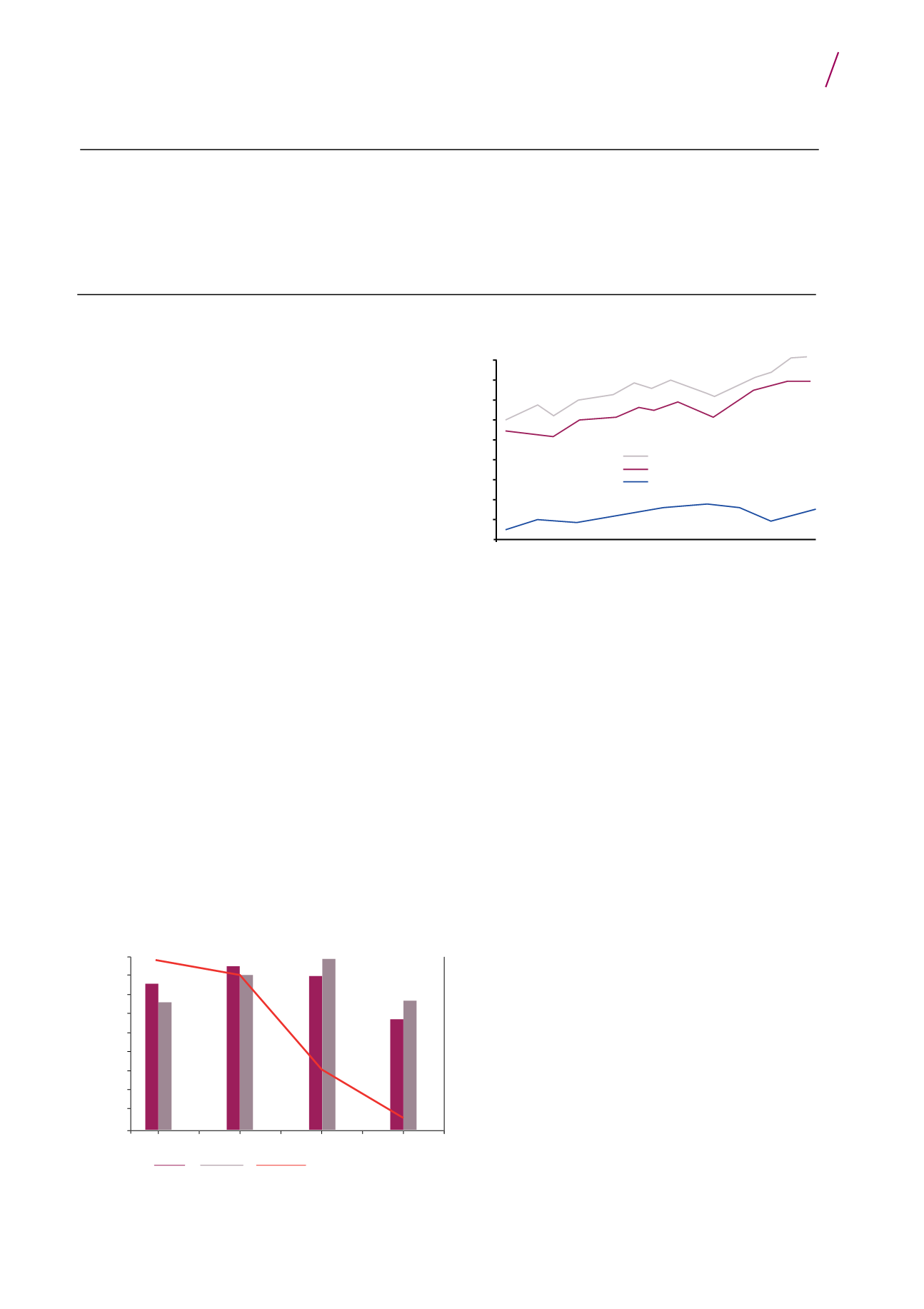
إنتاج المواد الهيدروكربونية - الاستهلاك والتصدير من 0002 إلى 4102
ا فيالإماراتالعربيةالمتحدة
ً
مليينالبراميليومي
اﻟﻤﺼﺪر: ﺗﻘﺪﻳﺮاتﻫﻴﺌﺎتﺣﻜﻮﻣﻴﺔ وﺻﻨﺪوق اﻟﻨﻘﺪ اﻟﺪوﻟﻲ
٢٠٠٠ ٢٠٠١ ٢٠٠٢ ٢٠٠٣ ٢٠٠٤ ٢٠٠٦ ٢٠٠٧ ٢٠٠٨ ٢٠٠٩ ٢٠١٠ ٢٠١١ ٢٠١٢ ٢٠١٣ ٢٠١٤
٤٫٥
٤٫٠
٣٫٥
٣٫٠
٢٫٥
٢٫٠
١٫٥
١٫٠
٠٫٥
٠٫٠
اﻟﺼﺎدرات
ﻧﺘﺎج

ا
اﻻﺳﺘﻬﻼك
٢٠١٢
٢٠١٣
٢٠١٤
٢٠١٥
اﻟﻤﺼﺪر: اﻟﻤﺼﺮف اﻟﻤﺮﻛﺰي
اﻟﻤﻮﻗﻒ اﻟﻤﺎﻟﻲ ﻟﺪوﻟﺔ ا ﻣﺎرات- ﺑﻤﻠﻴﺎرات اﻟﺪراﻫﻢ
٥٠
١٠٠
٠
١٥٠
٢٠٠
٢٥٠
٣٠٠
٣٥٠
٤٠٠
٤٥٠
اﻟﺮﺻﻴﺪ اﻟﻤﺎﻟﻲ
اﻟﻤﺼﺮوﻓﺎت
ا ﻳﺮادات
1,2,3,4,5,6,7,8,9 11,12,13,14,15,16,17,18,19,20,...28
Powered by FlippingBook