Annual Report 2015 - page 12

12
التقرير السنوي 5102
التطورات الاقتصادية
البطالة والتضخم
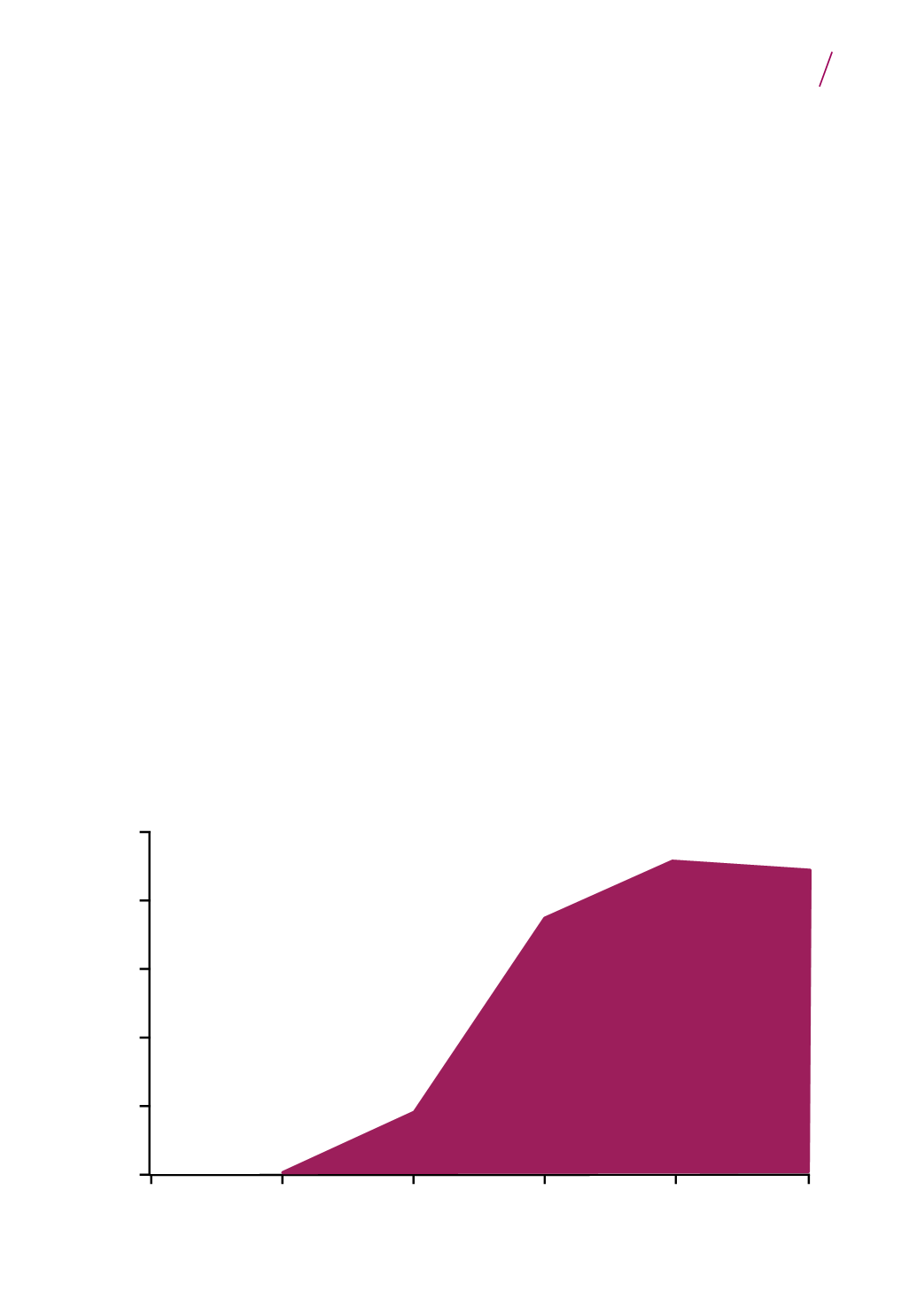
أسـهمتباطـؤ ارتفـاع أسـعار المـواد الغذائيـة والخدمـات
والسـلع المسـتوردة خـال العـام5102، فيحـدوث ارتفاع
مقبــول فــي معــدل التضخــم، حيــث أظهــرت بيانــات
الهيئــة الاتحاديــة للتنافســية والإحصــاء إلــى انخفــاض
معـدلاتالتضخمبالإمـاراتخلل السـنواتالأربـعالماضية،
اذ بلـغالمعـدل0.1 فـيالمئـةفـيعـام3102، ثـمارتفـعإلـى
1.1 فـيالمئـةفـيعـام4102، ثـمتبعـه زيـادةطفيفـة ليصـل
إلـى4.1 فـيالمئـةفـيعـام5102،مـعتوقعـاتبـأنيصـل05.1
فـيالمئـةفقـطفـيعـام6102 يليـهانخفـاضطفيـففـي
عـام7102 إلـى4.1 فيالمئـة.
وفــيحيــنســيكون للســتغناء عــن دعــم الطاقــة
وكذلــك الزيــادة الثابتــة فــي الراتــب تأثيــر ضئيــل علــى
دخــل الأســرة، و ســتعمل زيــادة المنافســة فــي الســوق
الحــر علــى المســاعدة علــى الحــد مــن التضخــم
والحفــاظ علــى تــوازن مؤشــر أســعار المســتهلكين.
وأظهــر تباطــؤ التوظيــف علمــات علــى حــدوث
انحســار فــي أواخــر عــام 5102 مــع زيــادة فــرص العمــل
المتاحـة بنسـبة أربعـة فـي المئـة، فـيحيـن أظهـر نمـو
ــا هامشــيا علــى
ً
ســوق التوظيــف بوجــه عــام انخفاض
أســاس ســنوي، حيــث شــهدت دولــة الإمــارات خــال
يصــل إلــى ثلثــة فــي المئــة فــي
ً
العــام 5102 انخفاضــ
عـدد الوظائـف الجديـدة المتاحـة فـيسـوق التوظيـف
المهنــي بالمقارنــة مــع عــام 4102.
توقعات الاقتصاد الكلي
أدى التحســن القــوي فــي الاســتهلك والدعــم
الحكومـي السـخي وارتفـاع الإنفـاق علـى البنيـة التحتيـة
فـي القطـاع العـام إلـى نمـو مطـرد فـيعـام 5102 فـي
منطقــة الشــرق الأوســط، ومــن المتوقــع أن تشــهد
ا بنسـبة خمسـة فـي المئـة بسـبب تحـول
ً
المنطقـة نمـو
الاســتثمار التدريجــي إلــى القطاعــات غيــر النفطيــة.
ومــن هنــا، فمــن غيــر المحتمــل أن يؤثــر العجــز
المالــي الحالــي علــى الوضــع المالــي القــوي لدولــة
الإمـارات المدعـوم بفوائـضماليـةقويـة تراكمـتعلى
عـن الزيـادة المتوقعـة فـيحجـم
ً
مـر السـنين، فضـا
إنتــاج النفــط وجهــود التنويــع الاقتصــادي الناجحــة
لتقليــص الاعتمــاد علــى القطاعــات الهيدروكربونيــة
عبــر تعزيــز تنافســية قطــاع الخدمــات.
وفيمــا يتطلــع الجميــع لعــودة أســعار النفــط
للرتفــاع خــال عــام 6102، تتوقــع وكالــة موديــز
لخدمـات المسـتثمرين، أن تعـزز مشـروعات الانشـاءات
غيــر الســكنية وقطاعــات الســياحة والتجــارة
والخدمــات الماليــة مــن دعــم النمــو الاقتصــادي فــي
عـام 6102، مرجحـة أن تعـود دولـة الإمـارات إلـى تحقيـق
فائــض فــي الميزانيــة خــال عــام 7102 مــع تعافــي
أسـعار النفـط والزيـادة المقـررة فـيمسـتويات الإنتـاج،
شـير هـذه التدابيـر إلـى إمكانيـة أن تسـجل ميزانيـة
ُ
اذ ت
حكومــة دولــة الإمــارات فوائــضمتزايــدة اعتبــاراً مــن
قــد الحالــي.
َ
العــام 7102 حتــى نهايــة الع
وفــي ظــل القيــادة الرشــيدة لدولــة الإمــارات
العربيــة المتحــدة، اتخــذت الحكومــة احتياطاتهــا
للأوقـات الصعب ـة، مـنخـال بن ـاء احتياطـات وقائي ـة
ضخمــة والعمــل مبكــراً علــى تنويــع الاقتصــاد
ومصــادر الميزانيــة
ويتوقــع أن تتجــه اقتصــادات دول مجلــس
التعـاون الخليجـي بوجـه عـام إلـى تحقيـق نـوع مـن
الاسـتقرار فـيعـام 6102، مـع انحسـار فـرص اسـتمرار
التراجــع، لا ســيما إذا واصلــت أســعار النفــط التحــرك
التصاعـديمـع التمكـنمـن ادارة انكمـاشالاقتصـاد
الصينـي دون أن يكـون هنـاك رفـع أخـر فـيمعـدل
الفائــدة الأميركيــة.
1.50
1.40
1.30
1.20
1.10
1.00
٢٠١٣
٢٠١٤ ٢٠١٥ ٢٠١٦
٢٠١٧
1.5
1.4
1.4
1.1
1.0
المصدر: الهيئة الاتحادية للتنافسية والاحصاء
معدل التضخم في دولة
الإمارات خلال الفترة من
3102 إلى 7102
1...,2,3,4,5,6,7,8,9,10,11 13,14,15,16,17,18,19,20,21,22,...28
Powered by FlippingBook